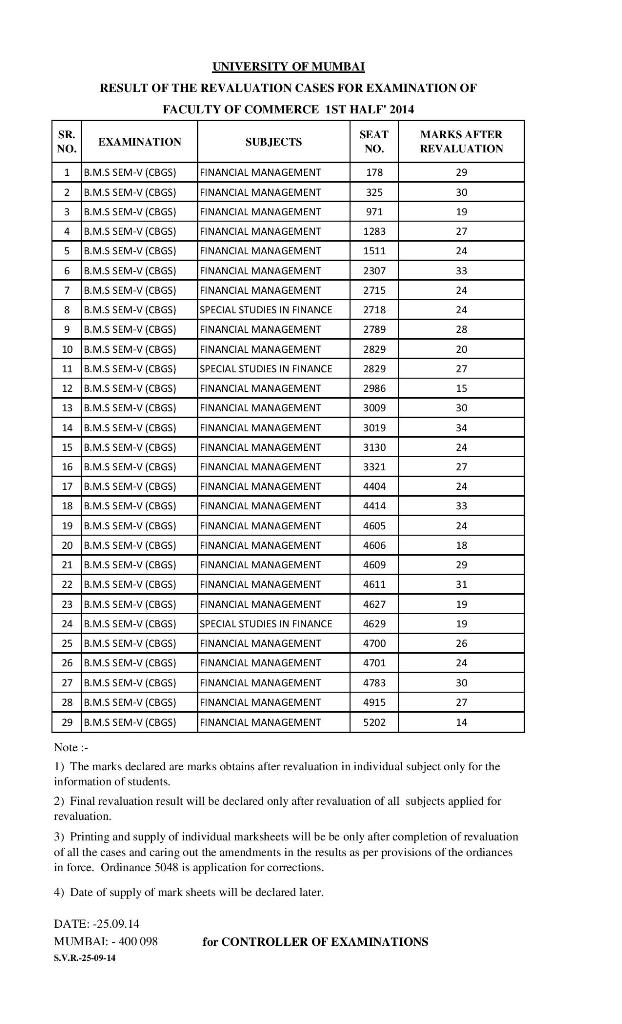
Note :-
1) The marks declared are marks obtains after revaluation in individual subject only for the
information of students.
2) Final revaluation result will be declared only after revaluation of all subjects applied for
revaluation.
3) Printing and supply of individual marksheets will be be only after completion of revaluation
of all the cases and caring out the amendments in the results as per provisions of the ordiances
in force. Ordinance 5048 is application for corrections.
4) Date of supply of mark sheets will be declared later.
DATE: -25.09.14

One Comment