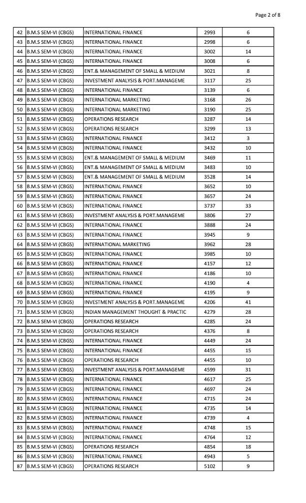
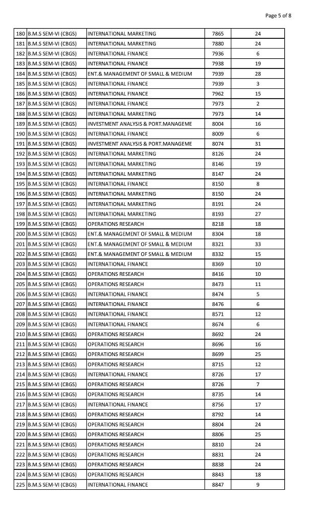
Note :-
1) The marks declared are marks obtains after revaluation in individual subject only for the information of
students.
2) Final revaluation result will be declared only after revaluation of all subjects applied for revaluation.
3) Printing and supply of individual marksheets will be be only after completion of revaluation of all the
cases and caring out the amendments in the results as per provisions of the ordiances in force. Ordinance
5048 is application for corrections.
4) Date of supply of mark sheets will be declared later.
DATE: -25.09.14








My seat number is not there in any of the list.. What should I do now.. When is the final list going to come?
My KT exam is so near.. And I don’t know whether to study for it or not.. As my revaluation number is still not out.. This is so stressing.. How many list are still left to come? All the revaluation list will be out before exams?
kresha check all list such bms sem 5 sometime they put in other list such bcom mix or sem5
kresha can u tell me your seat no and u r belong to which field so i help u
BMS Sem 6th.. Seat number 2142
see revaluation list bms sem 5 date 10-9-2014 download the pdf file
please tell me wen revaluation tybms 6 sem result declare because i want my marsheet urgent
Revaluation results and marksheets takes time. There is no fixed date. Stay tuned to this section for more updates. If it is urgent, please contact Mumbai University, Santacruz soon
Thanks a ton santosh.. 🙂 I’ll let u know..
i want to no that i see my revaluation cases in that i cleared my subject. So kt exam dena padega ya nahi please reply bms team
i see my revaluation cases in that i cleared my subject.So kt exam dena padega ya nahi please reply bms team
i see my reval mark in revaluation cases in that i got 24 mark . so kt exam is compulsory to give
If cleared revaluation then no need to give kt exams
I got kt in or subject n my number is not der in any of the list ? Can anybody plz help ?
When mu Will declare bms 6th sem cbgs 2014 kt results…
Results can be declared anytime. Please check http://www.mu.ac.in/Results.html