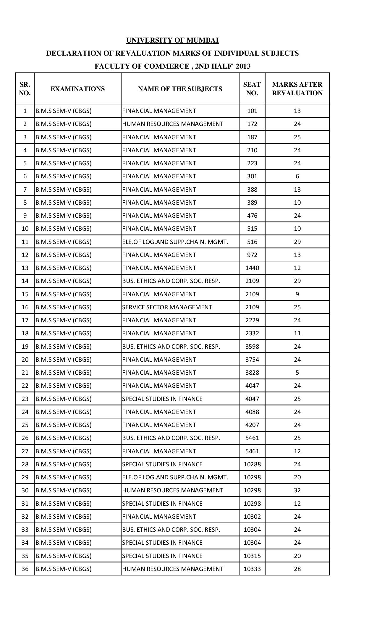
TYBMS Sem 5 November 2013 Revaluation Results 20th List Declared On 16 May 2014


0

Hello TYBMSites!

Mumbai University has declared the list of revaluation results for Sem 5 CBSGS 2013 exams.

Candidates can check their seat numbers and marks after revaluation below:

revalbmssem5cbsgs1605-page-001 revalbmssem5cbsgs1605-page-002


Like it? Share with your friends!

0
BMS Team

We, at BMS.co.in, believe in sharing knowledge and giving quality information to our BMS students. We are here to provide and update you with every details required by you BMSites! If you want to join us, please mail to [email protected].

0 Comments

Facebook comments:

Choose A Format
Personality quiz
Series of questions that intends to reveal something about the personality
Trivia quiz
Series of questions with right and wrong answers that intends to check knowledge
Poll
Voting to make decisions or determine opinions
Story
Formatted Text with Embeds and Visuals
List
The Classic Internet Listicles
Countdown
The Classic Internet Countdowns
Open List
Submit your own item and vote up for the best submission
Ranked List
Upvote or downvote to decide the best list item
Meme
Upload your own images to make custom memes
Video
Youtube and Vimeo Embeds
Audio
Soundcloud or Mixcloud Embeds
Image
Photo or GIF
Gif
GIF format